153-0373-2222
138-3908-0089
榨油機基本概念
1.榨膛的壓縮曲線
在新鄉紅陽牌螺旋榨油機榨膛內,榨料進入進料段后,由于榨螺螺紋寬度逐節增加,螺距縮小,根圓直徑增粗等原因,使物料在隨榨螺旋轉而被推進的過程中受到壓縮。在榨膛內,其被壓縮程度隨著物料的推進而發生變化。把榨料在榨膛內被推進過程中的壓縮程度的變化情況描繪成圖象就叫榨膛的壓縮曲線。榨膛的壓縮曲線如圖5-1所示。

圖5-1 榨膛的壓榨曲線

從圖5-1中看出,榨料的壓縮過程分為三段,分析如下:
(1)進料段。榨料在進料段開始被擠緊,排出空氣和水分,發生塑性變形并開始出油。因而在榨籠前段可看到少量的油滴,且有氣泡。
(2)壓榨段。壓榨段的榨膛空間迅速有規律地縮小,榨料受到強烈壓榨,料粒間開始結合,形成連續的多孔物并大量排出油脂。在此過程申,物料在被壓縮的同時還受到各種摩擦。具體地說,因榨螺螺旋中斷,榨膛阻刀、榨條棱角的剪切作用而引起料位的位移、斷裂混合等現象,使油路不斷被打開,所以能迅速充分地排出油脂。
(3)成餅段。榨料在成餅段已形成瓦塊狀餅,幾乎呈整體式推進,因而也有較大的軸向壓縮阻力。這時瓦塊餅的可壓縮性已經不大,但需保持較高的壓力,使油瀝干,而且該過程應延長適當的時間,并減小軸向阻力 (此處榨螺的幾何尺寸已變化不大)。如果認為這時油已壓凈,從而放松壓力,那么熱餅就會膨脹疏松反而吸油,對壓榨不利。排出的餅塊一般由于彈性或膨脹作用會有所膨大。
2.壓縮比和總壓縮比
(1)榨螺的空余體積。榨螺的空余體積是指榨膛內每一導程 (螺距)榨螺所包容的空間體積。
(2)壓縮比。壓縮比是指相鄰兩導程榨螺前后對應的空余體積之比。設相鄰兩導程榨螺的空余體積分別為Vn和Vn+1,則壓縮比為:

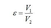
(3)總壓縮比。入料第 一導程與出餅端的一個導程的空余體積之比為總壓縮比。設第 一導程的空余體積為V入,出餅端導程的空余體積為V末,總壓縮比ε為:








